Publications

Recommended references to cite PHSD-PHQMD and core model papers

How To Cite PHSD

Recommended primary references for PHSD method and implementation.

Parton transport and hadronization from the dynamical quasiparticle point of view

W. Cassing and E. L. Bratkovskaya · Phys. Rev. C 78 (2008) 034919

Show abstract

The hadronization of an expanding partonic fireball is studied within the Parton-Hadron-Strings Dynamics (PHSD) approach which is based on a dynamical quasiparticle model (DQPM) matched to reproduce lattice QCD results in thermodynamic equilibrium. Apart from strong parton interactions the expansion and development of collective flow is driven by strong gradients in the parton mean-fields. An analysis of the elliptic flow v2 demonstrates a linear correlation with the spatial eccentricity epsilon as in case of ideal hydrodynamics. The hadronization occurs by quark-antiquark fusion or 3 quark/3 antiquark recombination which is described by covariant transition rates. Since the dynamical quarks become very massive, the formed resonant pre-hadronic color-dipole states (q-qbar or qqq) are of high invariant mass, too, and sequentially decay to the groundstate meson and baryon octets increasing the total entropy. This solves the entropy problem in hadronization in a natural way. The resulting particle ratios turn out to be in line with those from a grandcanonical partition function at temperature T approximately 170 MeV, rather independent from the initial temperature, and indicate an approximate strangeness equilibration.

Time evolution of the elliptic flow v2.
Time evolution in the parton, meson and baryon number.

Parton-Hadron-String Dynamics: an off-shell transport approach for relativistic energies

W. Cassingand E. L. Bratkovskaya · Nucl. Phys. A 831 (2009) 215-242

Show abstract

The dynamics of partons, hadrons and strings in relativistic nucleus-nucleus collisions is analyzed within the Parton-Hadron-String Dynamics (PHSD) transport approach, which is based on a Dynamical QuasiParticle Model (DQPM) for partons matched to reproduce lattice-QCD results in thermodynamic equilibrium. Scalar- and vector-interaction densities are extracted from the DQPM as well as effective scalar- and vector-mean fields for the partons. The transition from partonic to hadronic degrees of freedom is described by covariant transition rates for the fusion of quark-antiquark pairs or three quarks (antiquarks), obeying flavor current-conservation, color neutrality and energy-momentum conservation. Since the dynamical quarks and antiquarks become very massive close to the phase transition, the formed resonant pre-hadronic color-dipole states (q-qbar or qqq) are of high invariant mass, too, and sequentially decay to the groundstate meson and baryon octets increasing the total entropy. The PHSD approach is applied to nucleus-nucleus collisions from 20 to 160 A GeV to explore partonic matter and shows a sizeable influence on transverse-mass distributions of kaons and on multi-strange antibaryon production.

partonic energy fraction with time
partonic energy fraction with time

Exploring the partonic phase at finite chemical potential within an extended off-shell transport approach

P. Moreau, O. Soloveva, L. Oliva, T. Song, W. Cassing, E. Bratkovskaya· Phys. Rev. C, 100 (2019) 1, 014911

Show abstract

We extend the Parton-Hadron-String Dynamics (PHSD) transport approach in the partonic sector by explicitly calculating the total and differential partonic scattering cross sections as a function of temperature T and baryon chemical potential \mu_B on the basis of the effective propagators and couplings from the Dynamical QuasiParticle Model (DQPM) that is matched to reproduce the equation of state of the partonic system above the deconfinement temperature T_c from lattice QCD. The ratio of shear viscosity \eta over entropy density s, i.e. \eta/s, is evaluated using the collisional widths and compared to lQCD calculations for \mu_B = 0 as well. We find only a very modest change of \eta/s with the baryon chemical \mu_B. This also holds for a variety of hadronic observables from central A+A and C+Au collisions in the energy range 5 GeV \leq \sqrt{s_{NN}} \leq 200 GeV when implementing the differential cross sections into the PHSD approach. We only observe small differences in the strangeness and antibaryon sector with practically no sensitivity of rapidity and p_T distributions to the \mu_B dependence of the partonic cross sections. Since we find only small traces of a \mu_B-dependence in heavy-ion observables - although the effective partonic masses and widths as well as their partonic cross sections clearly depend on \mu_B - this implies that one needs a sizable partonic density and large space-time QGP volume to explore the dynamics in the partonic phase. These conditions are only fulfilled at high bombarding energies where \mu_B is, however, rather low. On the other hand, when decreasing the bombarding energy and thus increasing \mu_B, the hadronic phase becomes dominant and accordingly, it will be difficult to extract signals from the partonic dynamics based on "bulk" observables.

The energy density for central Pb+Pb collisions
The energy density for central Pb+Pb collisions

Basic References To The PHSD Model

From Kadanoff-Baym dynamics to off-shell parton transport

W. Cassing · Eur. Phys. J. ST 168 (2009) 3-87

Show abstract

This review provides a written version of lectures on non-equilibrium quantum field theory and shows the way from quantum-field theory in two-particle irreducible approximation to the Kadanoff-Baym equations and practical approximation schemes in phase space. This leads to an off-shell transport theory that incorporates the underlying quantum physics and can be solved in a testparticle representation for weak and strong coupling regimes. Applications to dilepton production in heavy-ion reactions and to hadronization from partonic to hadronic degrees of freedom are discussed.

dilepton emission rate DQPM vs Born
dilepton emission rate DQPM vs Born

Parton-Hadron-String Dynamics at relativistic collider energies

E. L. Bratkovskaya, W. Cassing, V. P. Konchakovski, O. Linnyk · Nucl. Phys. A 856 (2011) 162-182

Show abstract

The Parton-Hadron-String Dynamics (PHSD) transport approach is applied to nucleus-nucleus collisions at RHIC energies with respect to differential hadronic spectra in comparison to available data. PHSD is based on DQPM partons matched to lattice-QCD results and includes covariant transition rates for hadronization with all conservation laws. Dynamical studies for Au+Au collisions at top RHIC energy are compared to HSD results and to STAR, PHENIX, BRAHMS and PHOBOS data. The approach gives a reasonable description of rapidity distributions, transverse mass spectra and elliptic flow, and shows approximate quark-number scaling of v2 for hadrons.

The hadron elliptic flow v2
Scaled elliptic flow v2/nq versus transverse kinetic energy per constituent quark.

Azimuthal anisotropies for Au+Au collisions in the parton-hadron transient energy range

V. P. Konchakovski, E. L. Bratkovskaya, W. Cassing, V. D. Toneev, V. Voronyuk · Phys. Rev. C 85 (2012) 044922

Show abstract

The azimuthal anisotropies of the collective transverse flow of charged hadrons are investigated in a wide range of heavy-ion collision energies within the microscopic parton-hadron-string dynamics (PHSD) transport approach which incorporates explicit partonic degrees of freedom in terms of strongly interacting quasiparticles (quarks and gluons) in line with an equation of state from lattice QCD as well as the dynamical hadronization and hadronic collision dynamics in the final reaction phase. The experimentally observed increase of the elliptic flow v_2 of charged hadrons with collision energy is successfully described in terms of the PHSD approach. The PHSD scaling properties of various collective observables are confronted with experimental data as well as with hydrodynamic predictions. The analysis of higher-order harmonics v_3 and v_4 in the azimuthal angular distribution shows a similar tendency of growing deviations between partonic and purely hadronic models with increasing collision energy. This demonstrates that the excitation functions of azimuthal anisotropies reflect the increasing role of quark-gluon degrees of freedom in the early phase of relativistic heavy-ion collisions. Furthermore, the specific variation of the ratio v_4/(v_2)^2 with respect to bombarding energy, centrality and transverse momentum is found to provide valuable information on the underlying dynamics.

The evolution of the parton fraction of the total energy density.
Impact parameter dependence of anisotropic flows of charged particles.

Tomography of the Quark-Gluon-Plasma by Charm Quarks

T. Song, H. Berrehrah, D. Cabrera, J. M. Torres-Rincon, L. Tolos · Phys.Rev.C 92 (2015) 014910

Show abstract

We study charm production in ultra-relativistic heavy-ion collisions by using the Parton-Hadron-String Dynamics (PHSD) transport approach. The initial charm quarks are produced by the Pythia event generator tuned to fit the transverse momentum spectrum and rapidity distribution of charm quarks from Fixed-Order Next-to-Leading Logarithm (FONLL) calculations. The produced charm quarks scatter in the quark-gluon plasma (QGP) with the off-shell partons whose masses and widths are given by the Dynamical Quasi-Particle Model (DQPM) which reproduces the lattice QCD equation-of-state in thermal equilibrium. The relevant cross section are calculated in a consistent way by employing the effective propagators and couplings from the DQPM. Close to the critical energy density of the phase transition, the charm quarks are hadronized into D mesons through coalescence and/or fragmentation depending on transverse momentum. The hadronized D mesons then interact with the various hadrons in the hadronic phase with cross sections calculated in an effective lagrangian approach with heavy-quark spin symmetry. Finally, the nuclear modification factor \rm R_{AA} and the elliptic flow v_2 of D^0 mesons from PHSD are compared with the experimental data from the STAR Collaboration for Au+Au collisions at \sqrt{s_{\rm NN}} =200 GeV. We find that in the PHSD the energy loss of D mesons at high p_T can be dominantly attributed to partonic scattering while the actual shape of \rm R_{AA} versus p_T reflects the heavy quark hadronization scenario, i.e. coalescence versus fragmentation. Also the hadronic rescattering is important for the \rm R_{AA} at low p_T and enhances the D-meson elliptic flow v_2.

The evolution of the parton fraction of the total energy density.
The RAA of D0 mesons including partonic scattering with and wo. hadronic scattering

Effective QCD and transport description of dilepton and photon production in heavy-ion collisions and elementary processes

O. Linnyk, E. L. Bratkovskaya, W. Cassing · Prog.Part.Nucl.Phys. 87 (2016) 50-115

Show abstract

In this review we address the dynamics of relativistic heavy-ion reactions and in particular the information obtained from electromagnetic probes that stem from the partonic and hadronic phases. The out-of-equilibrium description of strongly interacting relativistic fields is based on the theory of Kadanoff and Baym. For the modeling of the partonic phase we introduce a dynamical quasiparticle model (DQPM) for QCD in equilibrium. The widths and masses of the quasiparticles are controlled by transport coefficients in comparison to lattice QCD results. The resulting off-shell transport approach - denoted by Parton-Hadron-String Dynamics (PHSD) - also includes covariant dynamical hadronization and keeps track of the hadronic interactions in the final phase. We show that PHSD captures the bulk dynamics of heavy-ion collisions from SPS to LHC energies and provides a basis for the evaluation of the electromagnetic emissivity, using the same dynamical parton propagators as for the system evolution. Direct photon production in elementary processes and heavy-ion reactions at RHIC and LHC energies is investigated and the status of the photon v2 puzzle - a large elliptic flow of the direct photons observed in A+A collisions - is addressed. We discuss the roles of hadronic and partonic sources for the photon spectra and the flow coefficients v2 and v3 and also the possibility to subtract the QGP signal from observables. Furthermore, the production of dilepton pairs is addressed from SIS to LHC energies. The low-mass dilepton yield is enhanced due to the in-medium modification of the rho-meson and at the lowest energy also due to a multiple regeneration of Delta-resonances. In addition, a signal of the partonic degrees-of-freedom is found in the intermediate dilepton mass regime (1.2GeV

The evolution of the parton fraction of the total energy density.
Spectrum of direct photons produced most central Au+Au collisions

In-medium effects in strangeness production in heavy-ion collisions at (sub)threshold energies

T. Song, L. Tolos, J. Wirth, J. Aichelin, and E. Bratkovskaya · Phys.Rev.C 103 (2021) 044901

Show abstract

We study the in-medium effects in strangeness production in heavy-ion collisions at (sub-)\-threshold energies of 1 - 2 A GeV based on the microscopic Parton-Hadron-String Dynamics (PHSD) transport approach. The in-medium modifications of the antikaon (\bar K = K^-, \bar K^0) properties are described via the self-consistent coupled-channel unitarized scheme based on a SU(3) chiral Lagrangian which incorporates explicitly the s- and p- waves of the kaon-nucleon interaction. This scheme provides the antikaon potential, spectral functions and reaction cross sections as well as their dependence on baryon density, temperature and antikaon momentum in the nuclear medium, which are incorporated in the off-shell dynamics of the PHSD. The in-medium modification of kaons (K = K^+, K^0) are accounted via the kaon-nuclear potential, which is assumed to be proportional to the local baryon density. The manifestation of the medium effects in observables is investigated for the K and {\bar K} rapidity distributions, p_T-spectra as well as the polar and azimuthal angular distributions, direct (v_1) and elliptic (v_2) flow in C+C, Ni+Ni, and Au+Au collisions. We find - by comparison to experimental data from the KaoS, FOPI and HADES Collaborations - that the modifications of (anti)kaon properties in nuclear matter are necessary to explain the data in a consistent manner. Moreover, we demonstrate the sensitivity of kaon observables to the equation-of-state of nuclear matter.

The evolution of the parton fraction of the total energy density.
The contour plot for the mass distributions of K− as a function of time

Electromagnetic emission from strongly interacting hadronic and partonic matter created in heavy-ion collisions

A. W. Romero Jorge, T. Song, Q. Zhou, E. Bratkovskaya · Phys. Rev. C 111 (2025) 064904

Show abstract

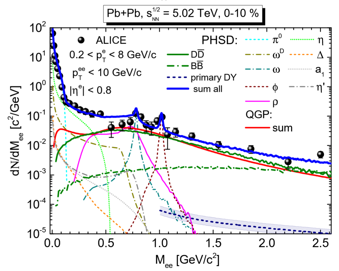
We investigate dilepton production in heavy-ion, proton-proton, and proton-nucleus collisions from low energies of 1 AGeV (SIS) to ultra-relativistic energies (LHC) using the Parton-Hadron-String Dynamics (PHSD) transport approach. PHSD is a microscopic, non-equilibrium approach that integrates hadronic and partonic degrees of freedom, providing a comprehensive description of relativistic heavy-ion collisions from initial nucleon-nucleon interactions to quark-gluon plasma (QGP) formation, hadronization, and final-state interactions. Key dilepton sources in PHSD include hadronic decays, bremsstrahlung, QGP radiation (q+\bar q \to e^+e^-, \ q+\bar q \to g+ e^+e^-, \ q+g \to q+ e^+e^-), primary Drell-Yan production, and semileptonic decays of correlated charm and bottom pairs. PHSD well describes dilepton data from HADES, STAR, and ALICE experiments. We examine in-medium effects, such as the vector meson spectral function broadening, and present the excitation function for the dilepton "excess" in the invariant mass range 0.4

Electromagnetic emission from strongly interacting hadronic and partonic matter created in heavy-ion collisions
Invariant mass spectra for Pb+Pb

How To Cite PHQMD

Recommended primary references for PHQMD mode and usage.

Parton-Hadron-Quantum-Molecular Dynamics (PHQMD) - A Novel Microscopic N-Body Transport Approach for Heavy-Ion Collisions, Dynamical Cluster Formation and Hypernuclei Production

J. Aichelin, E. Bratkovskaya, A. Le Fevre, V. Kireyeu, V. Kolesnikov, Y. Leifels, V. Voronyuk, G. Coci · Phys. Rev. C 101 (2020) 044905

Show abstract

Cluster and hypernuclei production in heavy-ion collisions is presently under active experimental and theoretical investigation. Since clusters are weekly bound objects, their production is very sensitive to the dynamical evolution of the system and its interactions. The theoretical description of cluster formation is related to the n-body problem. Here we present the novel n-body dynamical transport approach PHQMD (Parton-Hadron-Quantum-Molecular Dynamics) which is designed to provide a microscopic description of nuclear cluster and hypernucleus formation as well as of general particle production in heavy-ion reactions at relativistic energies. In difference to the coalescence or statistical models, often used for the cluster formation, in PHQMD clusters are formed dynamically due to the interactions between baryons described on a basis of Quantum Molecular Dynamics (QMD)which allows to propagate the n-body Wigner density and n-body correlations in phase-space, essential for the cluster formation. The clusters are identified by the MST (Minimum Spanning Tree) or the SACA ('Simulated Annealing Cluster Algorithm') algorithm which finds the most bound configuration of nucleons and clusters. Collisions among hadrons as well as Quark-Gluon-Plasma formation and parton dynamics in PHQMD are treated in the same way as in the established PHSD (Parton-Hadron-String Dynamics)transport approach. In order to verify our approach with respect to the general dynamics we present here the first PHQMD results for general 'bulk' observables such as rapidity distributions and transverse mass spectra for hadrons (\pi, K, \bar K, p, \bar p, \Lambda, \bar \Lambda) from SIS to RHIC energies. We find a good description of the 'bulk' dynamics which allows us to proceed with the results on cluster production, including hypernuclei.

PHQMD result q1
’Rise and fall’ of the multiplicity of clusters with Z ∈ [3, 30] as a function of the total bound charge

Dynamical mechanisms for deuteron production at mid-rapidity in relativistic heavy-ion collisions from energies available at the GSI Schwerionensynchrotron to those at the BNL Relativistic Heavy Ion Collider

G. Coci, S. Gläßel, V. Kireyeu, J. Aichelin, C. Blume, E. Bratkovskaya, V. Kolesnikov, V. Voronyuk · Phys. Rev. C 108 (2023) 014902

Show abstract

The understanding of the mechanisms for the production of weakly bound clusters, such as a deuteron d, in heavy-ion reactions at mid-rapidity is presently one of the challenging problems which is also known as the "ice in a fire" puzzle. In this study we investigate the dynamical formation of deuterons within the Parton-Hadron-Quantum-Molecular Dynamics (PHQMD) microscopic transport approach and advance two microscopic production mechanisms to describe deuterons in heavy-ion collisions from SIS to RHIC energies: kinetic production by hadronic reactions and potential production by the attractive potential between nucleons. Differently to other studies, for the "kinetic" deuterons we employ the full isospin decomposition of the various \pi NN\leftrightarrow \pi d, NNN\leftrightarrow N d channels and take into account the finite size properties of the deuteron by means of an excluded volume condition in coordinate space and by the projection onto the deuteron wave function in momentum space. We find that considering the quantum nature of the deuteron in coordinate and momentum space reduces substantially the kinetic deuteron production in a dense medium as encountered in heavy-ion collisions. If we add the "potential" deuterons by applying an advanced Minimum Spanning Tree (aMST) procedure, we obtain good agreement with the available experimental data from SIS energies up to the top RHIC energy.

PHQMD result q2
The mid-rapidity |y| < 0.3 excitation function for dN/dy of deuterons for Au+Au central collisions

Basic References To The PHQMD Model

Selected PHQMD references on cluster formation and dynamical mechanisms.

Cluster and hyper-cluster production in relativistic heavy-ion collisions within the PHQMD approach

S. Gläßel, V. Kireyeu, V. Voronyuk, J. Aichelin, C. Blume, E. Bratkovskaya, G. Coci, V. Kolesnikov, M. Winn · Phys. Rev. C 105 (2022) 014908

Show abstract

We study cluster and hypernuclei production in heavy-ion collisions at relativistic energies employing the Parton-Hadron-Quantum-Molecular-Dynamics (PHQMD) approach, a microscopic n-body transport model based on the QMD propagation of the baryonic degrees of freedom with density dependent 2-body potential interactions. All other ingredients of PHQMD, including the collision integral and the treatment of the quark-gluon plasma (QGP) phase, are adopted from the Parton-Hadron-String Dynamics (PHSD) approach. In PHQMD the cluster formation occurs dynamically, caused by the interactions. The clusters are recognized by the Minimum Spanning Tree (MST) algorithm. We present the PHQMD results for cluster and hypernuclei formation in comparison with the available experimental data at AGS, SPS, RHIC-BES and RHIC fixed target energies. We also provide predictions on cluster production for the upcoming FAIR and NICA experiments. PHQMD allows to study the time evolution of formed clusters and the origin of their production, which helps to understand how such weakly bound objects are formed and survive in the rather dense and hot environment created in heavy-ion collisions. It offers therefore an explanation of the 'ice in the fire' puzzle.

PHQMD result q3
Transverse momentum distribution of 4ΛH for different rapidity intervals for central Au+Au collisions

Deuteron production in ultrarelativistic heavy-ion collisions: A comparison of the coalescence and the minimum spanning tree procedure

V. Kireyeu, J. Steinheimer, J. Aichelin, M. Bleicher, E. Bratkovskaya · Phys. Rev. C 105 (2022) 044909

Show abstract

The formation of deuterons in heavy-ion collisions at relativistic energies is investigated by employing two recently advanced models -- the Minimum Spanning Tree (MST) method and the coalescence model by embedding them in the PHQMD and the UrQMD transport approaches. While the coalescence mechanism combines nucleons into deuterons at the kinetic freeze-out hypersurface, the MST identifies the clusters during the different stages of time evolution. We find that both clustering procedures give very similar results for the deuteron observables in the UrQMD as well as in the PHQMD environment. Moreover, the results agree well with the experimental data on deuteron production in Pb+Pb collisions at \sqrt{s_{NN}} = 8.8 GeV (selected for the comparison of the methods and models in this study). A detailed investigation shows that the coordinate space distribution of the produced deuterons differs from that of the free nucleons and other hadrons. Thus, deuterons are not destroyed by additional rescattering.

PHQMD result q4
Rapidity distribution of protons at the "freeze-out" time before the coalescence

Cluster formation near midrapidity - can the mechanism be identified experimentally?

V. Kireyeu, G. Coci, S. Gläßel, J. Aichelin, C. Blume, E. Bratkovskaya · Phys. Rev. C 109 (2024) 044906

Show abstract

The formation of weakly bound clusters in the hot and dense environment at midrapidity is one of the surprising phenomena observed experimentally in heavy-ion collisions from a low center of mass energy of a few GeV up to a ultra-relativistic energy of several TeV. Three approaches have been advanced to describe the cluster formation: coalescence at kinetic freeze-out, cluster formation during the entire heavy-ion collision by potential interaction between nucleons and deuteron production by hadronic reactions. We identify experimental observables, which can discriminate these production mechanisms for deuterons.

PHQMD result q5
The transverse momentum distributions of deuterons for central Au+Au collisions

Cluster dynamics studied with the phase-space minimum spanning tree approach

V. Kireyeu · Phys. Rev. C 103 (2021) 054905

Show abstract

The origin of weakly bound objects like clusters and hypernuclei, observed in heavy-ion collisions, is of theoretical and experimental interest. It is in the focus of the experiments at RHIC and LHC since it is not evident how such weakly bound objects can survive in an environment whose hadronic decay products point to a temperature of the order of 150 MeV. It is as well one of the key research topics in the future facilities of FAIR and NICA which are under construction in Darmstadt (Germany) and Dubna (Russia), respectively. We present here first results on the cluster dynamics within the model-independent cluster recognition library "phase-space Minimum Spanning Tree" (psMST) applied to different transport approaches: PHQMD, PHSD, SMASH and UrQMD. The psMST is based on the "Minimum Spanning Tree" (MST) algorithm for the cluster recognition which exploits correlations in coordinate space, and it is extended to correlations of baryons in the clusters in momentum space. We show the sensitivity of the cluster formation on the microscopic realization of the n-body dynamics and on the potential interactions in heavy-ion collisions.

PHQMD result psMST
The rapidity distributions of clusters with the mass number 4 ≤ A ≤ 20

Constraints on the equation-of-state from low energy heavy-ion collisions within the PHQMD microscopic approach with momentum-dependent potential

V. Kireyeu, V. Voronyuk, M. Winn, S. Gläßel, J. Aichelin · e-Print: 2411.04969 [nucl-th], 2024

Show abstract

We investigate the influence of the equation-of-state (EoS) of nuclear matter on collective observables, the directed (v_1) and the elliptic flow (v_2) of nucleons and light clusters in heavy-ion collisions at GeV beam energies employing the Parton-Hadron-Quantum-Molecular Dynamics (PHQMD) microscopic transport approach. Here the clusters are formed dynamically during the entire heavy-ion collision by potential interaction between nucleons, including additionally deuteron production by hadronic kinetic reactions. We employ three different EoS - realized via potential interactions: two static EoS, dubbed 'soft' and 'hard', which differ in the compressibility modulus, as well as a soft momentum dependent EoS, adjusted to pA elastic scattering data. We find that the momentum dependent potential has different consequences for rapidity and transverse momentum spectra than for flow coefficients. We obtain the best description of the HADES and FOPI data on the directed and elliptic flow coefficients of protons and light clusters applying a momentum dependent EoS. Moreover, we observe a scaling behavior of v_2 versus p_T with atomic number A. Finally we demonstrate that flow observables can help to identify the cluster production mechanisms.

PHQMD result psMST
v2 of deuterons as a function of rapidity for 20-30% central Au+Au collisions

Probing the nuclear equation of state with clusters and hypernuclei

Y. Zhou, S. Glässel, L. Yue-Hang, V. Kireyeu, J. Zhao, H. Liu, C. Blume, I. Vassiliev, V. Voronyuk, M. Winn, N. Herrmann, Y. Wang, N. Xu, J. Aichelin, E. Bratkovskaya · Phys.Rev.C 113 (2026) 014909

Show abstract

The study of the nuclear equation-of-state (EoS) is a one of the primary goals of experimental and theoretical heavy-ion physics. The comparison of recent high statistics data from the STAR Collaboration with transport models provides a unique possibility to address this topic in a yet unexplored energy domain. Employing the microscopic N-body Parton-Hadron-Quantum-Molecular Dynamics (PHQMD) transport approach, which allows to describe the propagation and interactions of hadronic and partonic degrees of freedom including cluster and hyper-nucleus formation and dynamics, we investigate the influence of different EoS on bulk observables, the multiplicity, p_T and rapidity distributions of protons, \Lambdas and clusters up to A=4 as well as their influence on the collective flow. We explore three different EoS: two static EoS, dubbed 'soft' and 'hard', which differ in the compressibility modulus, as well as a soft momentum dependent EoS. We find that a soft momentum dependent EoS reproduces most baryon and cluster observables, including the flow observables, quantitatively, however, hard EOS show a similar trend.

PHQMD result psMST
v1 of deuterons as a function of pT for central Au+Au collisions

Other Publications